瀏覽次
垃圾滲濾液屬于高濃度難降解有機廢水,它成分復雜、CODCr值高,傳統的生物方法雖然能夠取得一定的處理效果,但經過生化處理的垃圾滲濾液依然含有大量環烷烴、酯類、羥酸類及苯酚類等有毒有害物質,難以達到排放標準,需要對其進行深度處理。
1894年,法國科學家H. J. Fenton在研究蘋果酸氧化實驗時發現,Fe2+離子的加入能夠大幅度提高過氧化氫對蘋果酸的氧化速率,并在隨后的實驗中證實了亞鐵鹽和過氧化氫的組合是一種高效的有機物氧化劑。Fenton試劑能夠有效地降解廢水中的硝基苯、芳胺類、苯酚類等有毒有害物質,還可以將羧酸類、酯類和醇類等氧化為小分子有機物或無機物質,對色度也有很好的去除效果。本文采用Fenton試劑對經厭氧生化處理的垃圾滲濾液進行深度處理研究,為垃圾滲濾液的深度處理排放提供一定的借鑒。
1原理
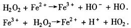
Fenton試劑法是一種均相催化氧化法,通過氧化和吸附混凝共同作用對污染物進行降解。氧化作用反應機理如下:

反應中產生的HO?是一種氧化能力很強的自由基,反應速度快、氧化效率高,可使有機物的C-C鍵斷裂并最終氧化成為CO2和H2O。
另外Fenton試劑還可以通過吸附混凝對有機物進行去除,普遍認為Fenton試劑中混凝過程中起主要作用的是三價鐵離子的絡合物。其機理如下:

2實驗方法
實驗原水為經過厭氧生化處理后的垃圾滲濾液,其水質狀況如表1所示:
表1垃圾滲濾液水質狀況
取一定體積垃圾滲濾液厭氧出水于500ml燒杯中,調節適當的pH值,加入定量的FeSO4溶液和30%H2O2溶液,攪拌15min;靜沉一段時間后,測定水樣的CODCr和pH值。
3結果和討論
3.1 H2O2投加量的影響
在FeSO4?7H2O投加量為1.0g/L,攪拌時間為15min和反應時間為60min的條件下,改變H2O2投加量,進行催化氧化反應,其實驗結果如圖1和圖2所示:
圖1 H2O2投加量對CODcr去除的影響
圖2 H2O2投加量與反應后的pH值
由圖1可以看出,H2O2的投加量是影響Fenton試劑處理效果的一個重要因素。CODCr去除率隨H2O2投加量的增加而增加,達到20mL/L時CODCr去除幅度減慢,此時CODCr去除率為73.8%。這是因為H2O2濃度較低時,產生的羥基自由基比較少,CODCr去除率較低;隨著H2O2濃度的增加,CODcr去除率逐漸提高;但當H2O2濃度增加到一定程度時,過量的H2O2會在反應開始階段將Fe2+迅速地氧化為Fe3+,消耗了部分H2O2同時也抑制了羥基自由基的生成。因此H2O2最佳投加量為20mL/L。由圖2可以看出經過60min反應后的垃圾滲濾液的pH值在2.2-2.5之間,變化幅度很小。
3.2 Fe2+投加量的影響
在H2O2投加量為20mL/L,pH為8.06,攪拌時間為15min和反應時間為60min的條件下,改變FeSO4?7H2O投加量,進行催化氧化反應,
由圖3所示:當FeSO4?7H2O投加量為0.1g/L和0.25g/L時CODCr基本沒有得到降解;當FeSO4?7H2O投加量為0.5g/L時CODcr去除率達到最高值為78.6%;再增加FeSO4?7H2O投加量時CODcr去除率反而有所下降。這是由于Fe2+反應中的催化作用所致。當Fe2+投量很小時,H2O2難以迅速產生羥基自由基,反應速率低;隨著Fe2+投量的增加,反應逐漸變快;當再增加Fe2+投量時,多余的Fe2+被H2O2氧化為Fe3+,消耗了部分H2O2,使得CODcr去除率略有降低。因此FeSO4?7H2O最佳投加量為500mg/L。由圖4可以看出FeSO4?7H2O投加量較低時,出水pH值較高,而當FeSO4?7H2O投加量大于0.5g/L時出水pH值下降較快達到2.4左右。這是由于FeSO4?7H2O投加量小時,Fe2+部用于催化反應,生成的Fe3+較少,Fe3+的水解吸附混凝作用不明顯,pH值降低幅度小;當FeSO4?7H2O投加量較高時,Fe3+的水解量增大,導致出水pH值較低。
圖4 FeSO4?7H2O投加量與反應后的pH值關系
3.3原水pH值的影響
在FeSO4?7H2O投加量為0.5g/L,pH為8.06,攪拌時間為15min和反應時間為60rnin的條件下,使用濃硫酸和氫氧化鈉調節原水pH值,其實驗結果如圖5和圖6所示:
圖5初始pH值對CODcr去除的影響
圖6 60min后pH值與CODcr關系
由圖5可以看出隨著初始pH值的提高出水CODCr逐漸降低。當初始pH值為原水時,出水CODcr達到最低值為336.1mg/L,CODcr去除率為79.5%。當初始pH值大于8.06時,Fenton試劑對CODcr的去除效果變差。因此最佳pH值為原水值。圖6是反應60min后pH與出水CODcr之間的關系圖。從圖6可以看出當Fenton試劑投加量一定時,反應后pH值與出水CODcr呈一定的相關性。根據二次多項式可以得出反應中pH值為2.84時,Fenton試劑對垃圾滲濾液CODcr去除效果最佳。其原因是Fenton試劑是在酸性條件下發生作用的。
3.4反應時間的影響
在FeSO4?7H2O投加量為0.5g/L,H2O2投加量為20mL/L,pH為8.06和攪拌時間為15min,每隔1h取樣一次測定出水CODcr,其實驗結果如圖7所示:
圖7反應時間對CODcr去除的影響
由圖可以看出隨著反應時間的增加CODcr去除率逐漸提高,當反應時間為1h時去除率達到81.7%,此后去除率無明顯變化。因此最佳反應時間可以選定為1h。
4結論
(1)Fenton試劑處理生化后的垃圾滲濾液效果良好,CODcr去除率可達81.7%。
(2)當Fenton試劑投加量一定時,反應后PH值與出水CODCr呈一定的相關性。
(3)通過實驗確定反應最佳條件為:pH值為8.06,H2O2 20mL/L,FeSO4?7H2O 500mg/L,攪拌時間15min,反應時間60min。
參考文獻略